黑龙江三江沼泽湿地生态系统国家野外科学观测研究站
新闻公告
我所在"冻融作用对多年冻土区泥炭地CO2排放"研究方面取得新进展
作者: 三江站 更新时间: 2015-10-10
冻融循环是影响中高纬度地区碳循环的重要影响因素,尤其是在受全球变暖影响下的多年冻土区。然而,冻融作用对中高纬度多年冻土区泥炭地不同活动层土壤CO2的相关研究却很少,对于冻融期CO2排放机制并不是很明确。为此,我所湿地与全球变化学科组王娇月博士等人在宋长春研究员的带领下,采用冻融模拟实验,系统研究了冻融作用下大兴安岭泥炭地活动层土壤CO2排放规律及影响机制。

  

  图1.冻结和融化过程大兴安岭泥炭地活动层土壤CO2排放特征

  

  

  图2.大兴安岭泥炭地活动层土壤活性碳组分对冻融循环的响应

  

  

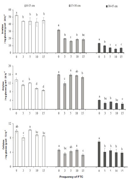
  图3.大兴安岭泥炭地活动层土壤酶活性对冻融循环的响应

  

  研究结果表明,融化阶段大兴安岭泥炭地活动层土壤呈现明显排放高峰,约是未冻融土壤(CK)的1.6–1.7倍。虽然冻融循环(FTC)没有改变CO2释放随着土壤深度增加而降低的规律,但是冻融期间CO2的释放却显著低于CKt=-5.80P<0.0001),这主要是冻结期间较低的CO2释放抵消了融化期的高排放,意味着多年冻土区泥炭地活动层土壤在冻融期间的CO2释放潜能可能会低于由于全球变暖增温导致的CO2释放。同时,FTC也显著增加了土壤DOC的释放,约是未冻融土壤的1.2–1.6倍,意味着在冻融期间可能会有更多的土壤碳以渗滤液的形式流失。另外,FTC期间的CO2释放与土壤活性有机碳及土壤酶活性呈现显著正相关关系,表明FTC下存活的微生物和酶能够利用土壤活性底物导致冻融期间CO2的释放。相关研究结果为精确评估全球变化背景下多年冻土区泥炭地碳循环提供支撑研究同时指出相关机制的深入揭示需进一步加强微生物机理研究。

  此研究受碳砖项,国家自然科学基金和创新团队项目共同资助,研究结果发表在Journal of Plant Nutrition and Soil Science

  论文Jiaoyue Wang, Changchun Song, AixinHou, Lili Wang. CO2 emissions from soils of different depths of a permafrost peatland, Northeast China: response to simulated freezing–thawing cycles. Journal of Plant Nutrition and Soil Science. 2014, 177, 524-531.

版权所有:国家生态系统观测研究网络 京ICP备05002838号-58
Email: sjm@cern.ac.cn TEL:0431-85542337 技术支持:国家生态科学数据中心 • 中国科学院计算机网络信息中心